경계층이론 boundary layer(feat 블라시우스상사,폰카르만 적분방정식)

유체가 흐르다 수평의 평판과 만나게 되면 평판의 점성에의한 마찰로 흐르던 속도가 줄게되고 이에따라 다음과 같은 속도 profile을 갖게 됩니다.
여기서 점성의 영향을 받는 viscous layer인 boundary layer와 점성의 영향을 받지 않는 booundary layer 밖의 영역으로 나뉘게 됩니다.


figure (1) 좌 boundary layer 우 velocity profile
여기서 viscous의 영향을 받는 경계층 두께의 기준은 원래유동속도 U_inf의 99%(책마다 조금씩 다릅니다)가
되는 지점으로 정의합니다.
유체역학에서는 유체의 거동(위치 속도 압력)을 알기가 어려운점이 있기때문에 대부분의 식들은 실험을 통해 나온결과가 많습니다.
실험에 사용되는 모형 이외에도 같은식을 사용하기 위해 무차원화 된 단위를 사용합니다.
아래의 그림을 보면 boundary layer에서 속도는 x에따라 변하게 되는데 물리량을 무차원화 하면 하나의 그래프로
오늘은 여러가정하에 유도하여 적용할 수있는 B.L에 적용되는 식에대해 알아보도록 하겠습니다
표현이 가능하다는 것을 표현한 그림입니다.
이때 속도u 는 아래(1) 와 같이표현이 가능하다 가정하고 이를 Similarity solution이라고 합니다.
블라시우스상사


이렇게 가정하였을 때 continuity equation(질량보존)과 Navier-Stokes Equation운동량보존을 만족하면
무차원화한 것이 유효하다고 볼 수 있습니다.
이러한 무차원화에 대한 증명을 하기 전에 B.L(Boundary layer)에 대한 명칭과 의미에대해 알아보도록 하겠습니다.
이러한 블라시우스 상사가 성립되면 좋은점은
유체가 받는 stress와 음직임은 속도 V와 pressure만 알면 Navier-stokes, continuity equation을 사용하지 않고도 유체의 거동을 알 수 있다는 점입니다.
경계층이론


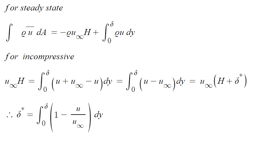
위의 3개의 boundary layer에서의 명칭에대한 의미와 유도를 하기전에 폰카르마적분방정식 먼저 알아보도록 하겠습니다.
폰카르만 적분방정식
C.V을 잡고 폰카르만 적분방정식을 통해 층류와 난류 모두의 속도분표를 알 수 있는데 만약 속도분포를 안다면
연속방정식(질량보존)과 운동량보존(나비에스토크스)를 통해 경계층두께 벽전단력 그리고 항력을 구할 수 있습니다.
먼저 폰카르만 적분방정식에 대해 유도하면

(1)Mass flux

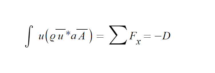
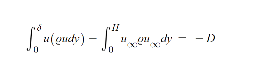
(2) Forces


1.boundary layer thickness
boundary layer는 경계층두께로 정의되고 초기유동속도의 99%의 위치까지의 높이를 의미합니다
이러한 경계층두께는 난류가 층류에 비해 빠르게 U_99에 접근하는 것을 볼 수 있습니다
그렇기 때문에 난류가 층류에 비해 경계층 두께가 얇은 특징이 있습니다.
2.displacement thickness
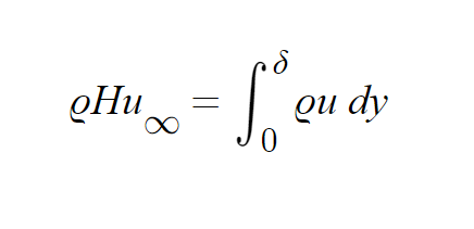
위의 폰카르만 적분방정식에서 (1) mass flux를 보면
U_inf*H의 체적유량으로 들어오던 초기유량이 평판의 점성에 의해서 속도가 줄게되고 이에 따라
질량보존을 만족하기 위해 증가한 경계층두께를 나타내는 것 입니다.

3. momentum thickness
momentum이 평판의 수직으로 확산되면서 확장되는 두께를 나타내고 운동량감소를 나타냅니다.



since

위와 같은 조건에 의해 다음과 같이 drag가 도출됩니다.


결론적으로 momnetum감소에 따른 Drag는 다음과 같이 도출됩니다.

지금까지 점성에 의해 발생하는 Boundary layer상에
displacement thickness ,momentum thickness 과 이로인한 Drag force의 유도과정에 대해 알아보았습니다.